1. 领域背景与文献引入
文献英文标题:Suspected anemia caused by maternal anti-Jra antibodies: a case report;发表期刊:Biomarker Research;影响因子:未公开;研究领域:新生儿溶血病与血型生物标志物研究。
人类已发现超过300种红细胞血型抗原,Jra抗原是其中高频表达的血型抗原之一,1970年由Stroup和MacIlroy首次报道其对应抗体抗-Jra。日本人群中Jr(a-)表型的频率相对较高,约为0.06%,远高于其他人群。2012年,研究人员确定ATP结合盒转运蛋白G2(ABCG2/CD338)是Jra抗原的载体,Jra血型系统被国际输血协会(ISBT)列为第32个人类血型系统,这是该领域的关键技术突破。目前,抗-Jra导致的新生儿溶血病(HDN)大多表现为轻症,但也有罕见的胎儿水肿、严重贫血等重症病例报道。现有研究已明确ABCG2基因的376C>T和421C>A突变会影响Jra抗原的表达密度,但对于Jra抗原密度与HDN临床症状的直接关联、抗-Jra对新生儿造血系统分化的影响机制仍未明确,存在研究空白。本研究通过对一例母源性抗-Jra相关新生儿贫血病例的家族分析,旨在填补上述空白,为抗-Jra相关HDN的临床诊疗提供理论依据。
2. 文献综述解析
作者的核心评述逻辑围绕Jra血型系统的分子基础、临床表型及研究现状展开,按“发现历程-分子机制-临床病例”的时间与研究深度维度对现有研究进行分类整合。
现有研究的关键结论包括:Jra抗原由ABCG2基因编码,其376C>T和421C>A突变会显著降低红细胞表面的Jra抗原密度;抗-Jra导致的HDN多数为轻症,仅表现为轻度溶血或黄疸,但少数病例可进展为严重的胎儿水肿;PCR-序列特异性引物(PCR-SSP)技术可精准检测ABCG2基因的关键突变位点,流式细胞术(FCM)能够定量分析红细胞表面的Jra抗原密度,这些技术为Jra血型的精准分型提供了可靠手段。现有研究的局限性在于,缺乏针对Jra抗原密度与HDN临床症状相关性的直接病例对比研究,同时对母源性抗-Jra如何影响新生儿造血系统分化的机制探讨不足,无法为重症病例的诊疗提供明确的理论支持。
本研究的创新价值在于,首次通过家族病例的对比分析,直接证实了Jra抗原密度与抗-Jra相关HDN临床症状的关联性,即抗原密度越高,新生儿贫血症状越明显;同时通过骨髓与外周血形态学分析,发现抗-Jra可能导致新生儿造血系统分化异常,补充了该领域在机制研究层面的空白,为抗-Jra相关HDN的风险评估与诊疗提供了新的思路。
3. 研究思路总结与详细解析
本研究的整体框架为:以一例母源性抗-Jra相关新生儿贫血病例为研究对象,通过临床指标监测明确贫血与抗-Jra的关联,结合家族血型血清学检测、ABCG2基因分型、Jra抗原密度定量及造血系统形态学分析,揭示Jra抗原密度与HDN症状的相关性及抗-Jra对造血分化的影响,形成“临床观察-实验室验证-机制探讨”的完整研究闭环。
3.1 病例临床观察与基础血液学检测
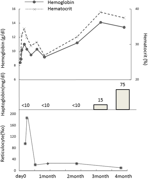
实验目的是明确新生儿贫血症状与母源性抗-Jra的关联,记录疾病的动态变化过程。方法细节:对新生儿出生时及产后13天、3个月等多个时间点进行外周血血常规、胆红素、抗体检测,同时记录临床体征(如呼吸急促、皮肤苍白)及治疗反应。结果解读:新生儿出生时血红蛋白(Hb)为8.4g/dL(n=1,文献未明确提供该数据的统计学显著性),网织红细胞比例达80.9%,提示存在贫血伴代偿性造血;脐血血浆检测到抗-Jra抗体(滴度1:8),直接抗球蛋白试验阴性;产后3个月Hb恢复至14.1g/dL,同时红细胞Jra抗原转为阳性,提示母源性抗-Jra的影响随时间逐渐消退。

产品关联:文献未提及具体实验产品,领域常规使用全自动血常规分析仪、胆红素检测试剂盒、抗球蛋白试剂等。
3.2 家族血型血清学与ABCG2基因分析
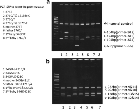
实验目的是明确家族成员的Jra血型基因型,分析ABCG2基因突变与Jra抗原表型的关系。方法细节:采用PCR-SSP技术对母亲、父亲、第一同胞及先证者的ABCG2基因376和421位点进行分型,同时通过血清学方法检测家族成员的血型系统指标。结果解读:母亲为376T纯合子,表现为Jr(a-)表型;父亲为376C纯合子且携带421C>A突变,表现为Jr(a+)表型;先证者为376CT杂合子、421CC野生型,第一同胞为376CT杂合子、421CA突变型,两者均为Jr(a+)表型,但基因型存在差异。

产品关联:实验所用关键产品:QIAamp DNA Blood Mini Kit(Qiagen)、Gene Amp PCR System 9700(Biosystems)、PrimeSTAR GXL DNA聚合酶(Takara Bio)。
3.3 Jra抗原密度流式细胞术定量分析
实验目的是定量家族成员红细胞表面的Jra抗原密度,分析抗原密度与HDN临床症状的关联。方法细节:以正常Jr(a+)(376CC、421CC)红细胞的平均荧光强度为100%,采用FCM检测家族成员红细胞的Jra抗原表达水平,使用日本红十字会生产的三种单克隆抗-Jra抗体(HIRO-133、HIRO-157、HIRO-248)进行染色。结果解读:父亲的Jra抗原密度为82%,第一同胞为31%,先证者为69%;无症状的第一同胞抗原密度显著低于出现贫血症状的先证者,提示Jra抗原密度越高,新生儿发生抗-Jra相关HDN的风险越高、症状越明显。

产品关联:实验所用关键产品:FACSCalibur流式细胞仪(Becton, Japan)、单克隆抗-Jra抗体(日本红十字会)、FITC标记的抗人免疫球蛋白G(IgG)二抗(Abliance)。
3.4 骨髓与外周血形态学分析
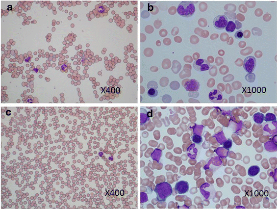
实验目的是探讨母源性抗-Jra对新生儿造血系统分化的影响。方法细节:对新生儿出生后5天及4个月时的外周血涂片、骨髓涂片进行May-Giemsa染色,观察细胞形态、比例及分化状态。结果解读:出生后5天的骨髓涂片显示髓系细胞/红系细胞比例为0.7,缺乏未成熟红系祖细胞,巨核细胞数量减少;产后4个月的骨髓涂片显示髓系细胞/红系细胞比例升至4.3,红系分化恢复正常,巨核细胞数量及形态正常;提示母源性抗-Jra可能抑制了新生儿造血系统的正常分化,随着抗体的代谢,造血功能逐渐恢复。

产品关联:文献未提及具体实验产品,领域常规使用May-Giemsa染色试剂盒、光学显微镜等。
4. Biomarker研究及发现成果解析
Biomarker定位
本研究涉及的Biomarker为红细胞表面Jra抗原,其由ABCG2基因编码,筛选与验证逻辑为:通过临床病例观察发现新生儿贫血症状与母源性抗-Jra相关→采用血清学PEG-IAT法初步检测Jra抗原表型→通过PCR-SSP基因分型明确ABCG2关键突变位点→利用FCM定量Jra抗原密度→结合临床症状验证抗原密度与疾病严重程度的关联,形成完整的Biomarker验证链条。
研究过程详述
该Biomarker的来源为家族成员的外周血红细胞;验证方法包括血清学PEG-IAT检测、ABCG2基因PCR-SSP分型及FCM定量分析;特异性与敏感性方面,FCM定量结果显示不同基因型对应的Jra抗原密度差异显著,先证者(376CT、421CC)的抗原密度为69%,而无症状的第一同胞(376CT、421CA)仅为31%,提示该Biomarker可有效区分抗-Jra相关HDN的风险程度。
核心成果提炼
本研究的核心成果包括:一是明确Jra抗原密度可作为抗-Jra相关HDN的风险评估Biomarker,抗原密度越高,新生儿贫血症状越显著;二是首次发现母源性抗-Jra可能导致新生儿造血系统分化异常,表现为髓系/红系比例降低、未成熟红系祖细胞减少及巨核细胞数量减少,为抗-Jra相关HDN的机制研究提供了新的方向。研究中未提供针对Biomarker的统计学检验P值,但家族病例的直接对比具有明确的临床关联性,样本量为家族4名成员(n=4)。
